2024湖南高考賦分對照表,賦分規則是什么?等級分如何換算?
湖南是采取“3+1+2”高考模式的新高考省份,高考選考科目采用了等級賦分。那么其高考賦分規則是什么?等級分是如何換算的?快來了解一下吧!

湖南高考賦分對照表及賦分規則

等級分是按統一規則,由原始分進行等級劃定后,再由等級轉換而來的分數。
再選科目每科原始分滿分為100分,轉換時以30分作為等級轉換的賦分起點,滿分100分。首先,將每門選擇考再選科目考生的原始分從高到低劃分為A、B、C、D、E共5個等級,各等級人數所占比例分別約為15%、35%、35%、13%和2%,從而將考生的原始分轉換成了等級。然后,將A至E等級內的考生原始分,依照等比例轉換原則,分別轉換到100~86、85~71、70~56、55~41和40~30五個分數區間(見下表),得到考生的等級分。轉換基數為實際參加該科目選擇考取得有效成績的考生數。等級分計算結果按“四舍五入”的規則以整數呈現。
湖南高考賦分算法如下:
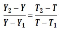
等級轉換的具體公式:

其中:
Y1、Y2分別表示原始分區間的下限和上限;
T1、T2分別表示轉換分區間的下限和上限;
Y表示原始分;
T表示轉換分。
考慮到高考分數都以整數呈現,故上述公式的計算結果需要進行“四舍五入”處理。
具體是如何進行成績轉換的?
答:可以舉例說明,假設某同學思想政治學科原始分為75分,該學科B等級的原始分分布區間為82~61,則該同學思想政治學科的原始成績屬B等級。而B等級的轉換分區間為85~71,那么該同學思想政治學科的轉換分為:

解得, T≈80.33;
四舍五入后該同學思想政治學科賦分成績為80(圖2)。
圖2:轉換示意圖

湖南高考總成績組成
考生高考總成績由全國統一高考的語文、數學、外語3門科目成績和考生選擇的3門普通高中學業水平選擇性考試科目成績組成,滿分為750分。其中,全國統一高考的語文、數學、外語3個科目,每科滿分均為150分,總分450分,各科均以原始成績計入總成績。學業水平考試選擇性考試科目中,考生在物理、歷史2門首選科目中選擇的1門科目,滿分為100分,以原始成績計入總成績;在思想政治、地理、化學、生物學4門再選科目中選擇的2門科目,每科滿分均為100分,以等級賦分轉換后的等級成績計入總成績,即通常所說的“3+1+2”模式。
選考科目為什么采用等級賦分?
選考科目不使用卷面得分,而采用等級賦分,主要因為:
(1)不同科目的卷面得分缺乏可比性。選考科目由考生自主選擇,不同科目考試內容和難度有所不同,把不同科目考試卷面得分機械相加合成總成績給考生排序不夠合理。
(2)不同科目實行等級分相對可比。等級分,是根據事先確定并公布的各科相同的比例,先按考生的卷面得分劃定相應等級,再按等級賦分,相同的等級分數相同,進而使不同科目的分數具有相對可比性。
(3)此外,考生考什么科目、什么時候考試,使用哪次考試成績都由自己決定,對于實行等級分來說,考生選擇機會和權力是平等的。
以上資料僅供參考,具體請以實際情況為準!
相關閱讀
-
2024年湖北高考具體報名時間及截止2023年高考結束之后,2024年的高考也就開始邁入了倒計時階段。那么湖北省2024年高考何時開始報名?在哪報名?流程是怎樣的?快來了解一下吧! 2024年湖北高考報...作者:kokkuri 時間:2023-11-03 -
高考報名需要什么材料?復讀生在家高考報名是每年數十萬考生參加高考準備之前必須完成的第一步,也是最重要的一步,因為考生在報考之前需要提前做好充分的準備。那么高考報名需要什么材料以及復讀生...作者:小魚 時間:2023-11-03 -
2023年甘肅高考本科上線率及上線總目前高考錄取工作已經結束,由于大家比較關心今年甘肅高考本科上線率及上線總人數是多少,所以小編整理了相關數據以供大家參考,希望能夠幫助到大家! 2023年甘...作者:山海 時間:2023-11-03 -
2024天津高考報名人數預計多少?附2024天津高考報名人數是多少?目前官方暫未公布數據,根據往年數據預測,預計2024年天津高考報名人數達7萬人,下面小編整理了歷年高考報名人數統計表以供大家參...作者:山海 時間:2023-11-03 -
云南高考報名入口官網登錄網址:ht目前全國各省高考報名工作正在有序開展中,那么云南省高考報名時間是什么時候?網上報名網址是什么?下面小編整理了一批相關資訊將詳細為大家解答! 云南高考報...作者:山海 時間:2023-11-03 -
山西高考報名時間2024年具體時間(目前全國各省高考報名工作正在有序進行中,那么山西高考報名時間具體是什么時候?由于大家比較關心,下面小編整理了一篇相關咨詢為大家詳細解答! 山西高考報名...作者:山海 時間:2023-11-03
最新文章
推薦閱讀
- 張雪峰最不建議上的211 :附211里最差的30所大學(2023參考)
- 專升本報名入口官網2023報名時間:全國各省專升本報名時間及入口
- 同學聚會有什么壞處?聰明人不參加同學會原因有4點你中了么
- 高考成績一般什么時候出來?2022全國高考成績公布時間一覽表
- 外省學生可以進衡水中學嗎?怎么進流程有哪些?衡水中學招生條件
- 2023年會考成績查詢入口:各省普通高中學業水平考試成績查詢網址
- 全國警校改革最新入警規定和政策?2022年警校恢復包分配是真的嗎
- 未來最值錢的十大證書你考了幾個?中國國內緊缺什么人才盤點
- 武亦姝父母家庭背景如何?中國詩詞大會武亦姝個人簡介曝光
- 華為校招42所高校名單出爐你中了嗎?碩士進華為一般是幾級月薪呢